Номер 716 - ГДЗ Алгебра 7 класс. Мерзляк, Полонский. Учебник. Страница 124

Вернуться к содержанию учебника

Страница 124

713 714 715 716 717 718 719

Вопрос

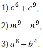
Разложите на множители:

Подсказка

Ответ


Вернуться к содержанию учебника