Номер 714 - ГДЗ Алгебра 7 класс. Мерзляк, Полонский. Учебник. Страница 124

Вернуться к содержанию учебника

Страница 124

711 712 713 714 715 716 717

Вопрос

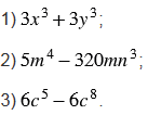
Представьте в виде произведения многочлен:

Подсказка

Ответ


Вернуться к содержанию учебника