Номер 4 - ГДЗ Алгебра 7 класс. Мерзляк, Полонский. Учебник. Страница 7

Вернуться к содержанию учебника

Страница 7

1 2 3 4 5 6 7

Вопрос

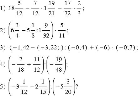
Чему равно значение выражения:

Подсказка

Ответ

1 2 3 4 5 6 7


Вернуться к содержанию учебника