Главная
ГДЗ
1 класс
2 класс
3 класс
4 класс
5 класс
6 класс
7 класс
8 класс
9 класс
Все ГДЗ
Справочники
Главная
ГДЗ
7 класс
Алгебра
Мерзляк учебник
2. Стр. 6
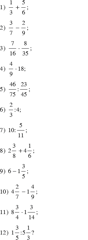
Номер 2 - ГДЗ Алгебра 7 класс. Мерзляк, Полонский. Учебник. Страница 6
←
Предыдущее
Следующее
→
Вернуться к содержанию учебника
Страница 6
1
2
3
4
5
6
7
Вопрос
Чему равно значение выражения:
Подсказка
Вспомните:
Обыкновенные дроби
.
Смешанные числа
.
Сложение и вычитание смешанных чисел
.
Сложение и вычитание дробей с одинаковыми знаменателями
.
Сложение и вычитание дробей с разными знаменателями и смешанных чисел
.
Приведение дробей к общему знаменателю
.
Сокращение дробей
.
Умножение обыкновенных дробей и смешанных чисел
.
Деление обыкновенных дробей и смешанных чисел
.
Ответ
1
2
3
4
5
6
7
Вернуться к содержанию учебника
←
Предыдущее
Следующее
→