Задание 2.441 - ГДЗ Математика 6 класс. Виленкин, Жохов. Учебник часть 1

Старая и новая редакции

Вернуться к содержанию учебника

2.438 2.439 2.440 2.441 2.442 2.443 2.444

Вопрос

Выберите год учебника

№2.441 учебника 2023-2024 (стр. 103):

Вычислите:

а) 200 - 101

: 3

+ 37

     : 5

?

б) 200 • 5

- 130

: 29

     + 270

?

в) 3 • 0,3

+ 4,1

: 100

      • 20

?

г) 0,45 : 9

• 6

+ 2,7

     : 0,01

?

д) 5,6 : 0,7

: 20

+ 4,8

     : 26

?

 

№2.441 учебника 2021-2022 (стр. 98):

Выполните действия:

Подсказка

№2.441 учебника 2023-2024 (стр. 103):


№2.441 учебника 2021-2022 (стр. 98):

Вспомните:

  1. Умножение обыкновенных дробей.
  2. Смешанные числа.
  3. Неправильные дроби.
  4. Деление и дроби.
  5. Сложение и вычитание дробей с разными знаменателями.
  6. Приведение дробей к общему знаменателю.
  7. Сложение и вычитание дробей с одинаковыми знаменателями.
  8. Основное свойство дроби (сокращение дробей).

Ответ

№2.441 учебника 2023-2024 (стр. 103):

а) 200 - 101 = 99

99 : 3 = 33

33 + 37 = 70

70 : 5 = 14

б) 200 • 5 = 1000

1000 - 130 = 870

870 : 29 = 30

30 + 270 = 300

в) 3 • 0,3 = 0,9

0,9 + 4,1 = 5

5 : 100 = 0,05

0,05 • 20 = 1

г) 0,45 : 9 = 0,05

0,05 • 6 = 0,3

0,3 + 2,7 = 3

3 : 0,01 = 300

д) 5,6 : 0,7 = 8

8 : 20 = 0,4

0,4 + 4,8 = 5,2

5,2 : 26 = 0,2

 

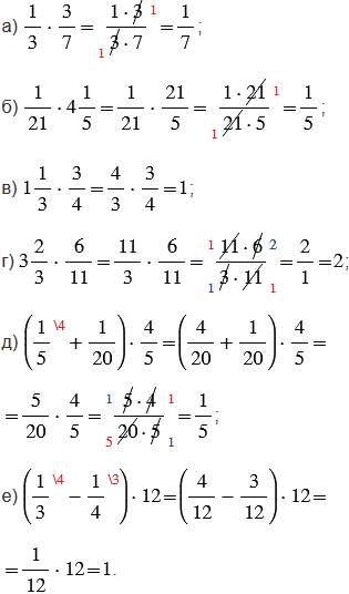
№2.441 учебника 2021-2022 (стр. 98):


Пояснения:

Правила, по которым выполнены вычисления:

1) произведением двух дробей является дробь, числитель которой равен произведению числителей, а знаменатель - произведению знаменателей. При выполнении умножения дробей, чтобы вычисления были проще, не надо перемножать сразу, лучше сделать это после сокращения. Сократить дробь - значит, разделить ее числитель и знаменатель на одно и то же число (наибольший общий делитель);

2) чтобы выполнить умножение смешанных чисел, нужно записать эти числа в виде неправильных дробей, а затем воспользоваться правилом умножения дробей. Чтобы преобразовать смешанное число в неправильную дробь, надо целую часть числа умножить на знаменатель дробной части и к полученному произведению прибавить числитель дробной части; эту сумму записать как числитель неправильной дроби, а в ее знаменатель записать знаменатель дробной части смешанного числа;

3) чтобы найти сумму (разность) двух дробей с одинаковыми знаменателями, нужно сложить (вычесть) их числители, а знаменатель оставить прежним;

4) чтобы сложить (вычесть) две дроби с разными знаменателями, надо: привести данные дроби к общему знаменателю, а затем применить правило сложения (вычитания) дробей с одинаковыми знаменателями;

5) произведение взаимно обратных чисел равно единице (обратным числу является число ).

В пунктах д) и е) сначала выполняем действия в скобках, а затем за скобками.


Вернуться к содержанию учебника