Вернуться к содержанию учебника
Выберите год учебника
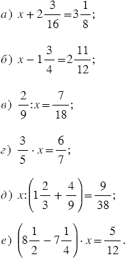
№1.153 учебника 2023-2024 (стр. 35):
Решите уравнение:

№1.153 учебника 2021-2022 (стр. 34):
Решите уравнение:
а) (0,87
- 0,66
) • 10 : 2 : 3 = 0;
б) 10 • (1,37
- 0,12
) : 5 : 8 = 0.
№1.153 учебника 2023-2024 (стр. 35):
Вспомните:
№1.153 учебника 2021-2022 (стр. 34):
Вспомните:
№1.153 учебника 2023-2024 (стр. 35):




Уравнение - это равенство, содержащее букву, значение которой надо найти. Корень уравнения - это число, которое при подстановке вместо буквы обращает уравнение в верное числовое равенство. Решить уравнение - значит найти все его корни или показать, что их нет вообще.
Для решения уравнений используют правило нахождения неизвестного:
1) слагаемого: чтобы найти неизвестное слагаемое, надо из суммы вычесть известное слагаемое.
2) уменьшаемого: чтобы найти неизвестное уменьшаемое, надо к разности прибавить вычитаемое.
3) вычитаемого: чтобы найти неизвестное вычитаемое, надо из уменьшаемого вычесть разность.
4) множителя: чтобы найти неизвестный множитель, надо произведение разделить на известный множитель.
5) делимого: чтобы найти неизвестное делимое, надо частное умножить на делитель.
6) делителя: чтобы найти неизвестный делитель, надо делимое разделить на частное.
№1.153 учебника 2021-2022 (стр. 34):


Вернуться к содержанию учебника