Вернуться к содержанию учебника
Упражнения для повторения курса алгебры 8 класса. Страница 226
916 917 918 919 920 921 922 923 924 925 926
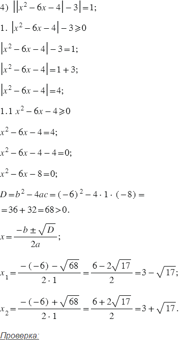
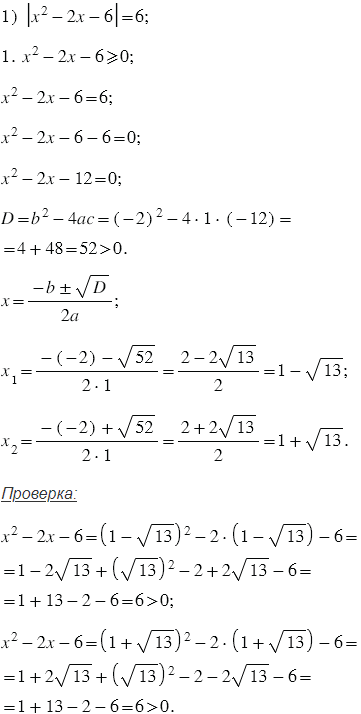
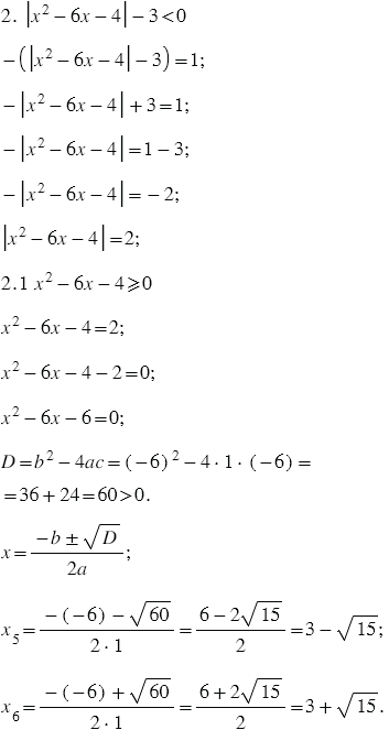
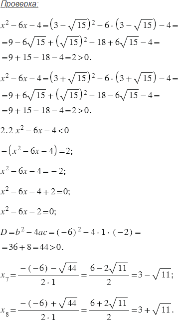
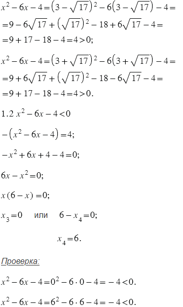
Решите уравнение:
Вспомните: