Номер 863 - ГДЗ Алгебра 8 класс. Мерзляк, Полонский. Учебник. Страница 218

Вернуться к содержанию учебника

Упражнения для повторения курса алгебры 8 класса. Страница 218

860 861 862 863 864 865 866

Вопрос

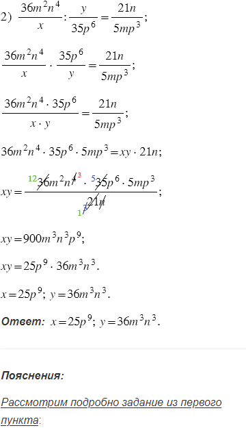
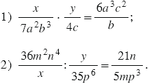
Полагая данные дроби несократимыми, замените и такими одночленами, чтобы получилось тождество:

Подсказка

Ответ


Вернуться к содержанию учебника