Вернуться к содержанию учебника
Упражнения для повторения курса алгебры 8 класса. Страница 217
846 847 848 849 850 851 852 853 854 855 856
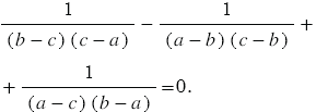
Докажите тождество:
Вспомните: