Вернуться к содержанию учебника
Упражнения §24. Страница 202
827 828 829 830 831 832 833 834 835 836 837
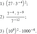
Вычислите:
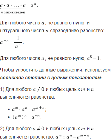
Вспомните: