Номер 810 - ГДЗ Алгебра 8 класс. Мерзляк, Полонский. Учебник. Страница 200

Вернуться к содержанию учебника

Упражнения §24. Страница 200

807 808 809 810 811 812 813

Вопрос

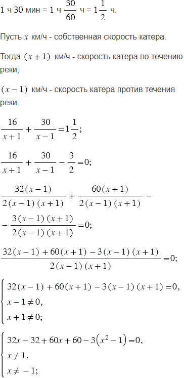
Катер прошёл 16 км по течению реки и 30 км против течения, затратив на весь путь 1 ч 30 мин. Найдите собственную скорость катера, если скорость течения реки составляет 1 км/ч.

Подсказка

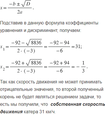
Ответ


Вернуться к содержанию учебника