Вернуться к содержанию учебника
Упражнения §17. Страница 140
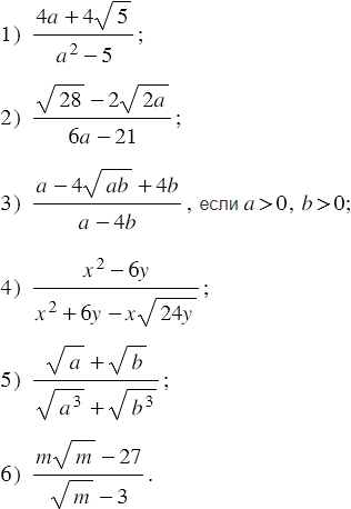
550 551 552 553 554 555 556 557 558 559 560
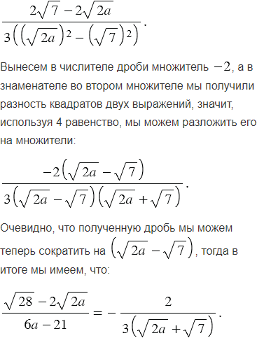
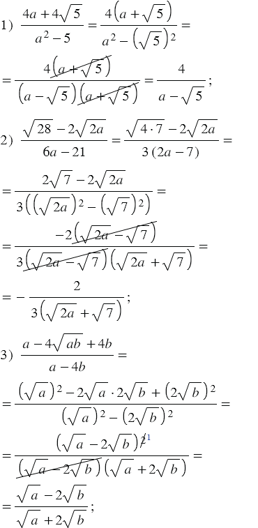
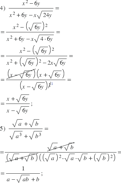
Сократите дробь:
Вспомните: