Номер 287 - ГДЗ Алгебра 8 класс. Мерзляк, Полонский. Учебник. Страница 72

Вернуться к содержанию учебника

Упражнения § 9. Страница 72

284 285 286 287 288 289 290

Вопрос

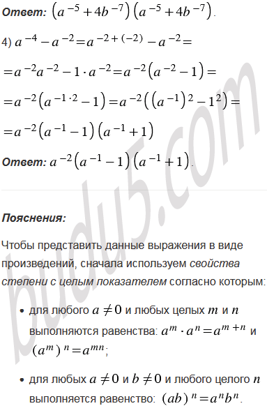
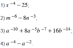
Представьте в виде произведения выражение:

Подсказка

Ответ


Вернуться к содержанию учебника