Вернуться к содержанию учебника
Упражнения § 8. Страница 67
263 264 265 266 267 268 269 270 271 272 273
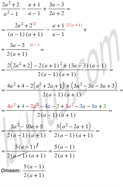
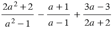
Упростите выражение
.
Вспомните: