Вернуться к содержанию учебника
Задание №2 "Проверь себя". Страница 49
1 2 3 4 5 6 7 8 9 10 11
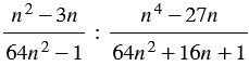
Представьте в виде дроби выражение .
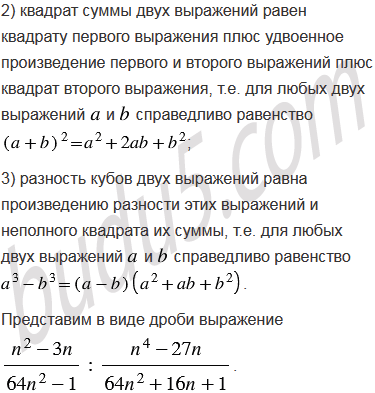
Вспомните: