Вернуться к содержанию учебника
Упражнения § 6. Страница 45
177 178 179 180 181 182 183 184 185 186 187
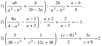
Докажите тождество:
Вспомните: