Вернуться к содержанию учебника
Упражнения § 5. Страница 40
161 162 163 164 165 166 167 168 169 170 171
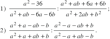
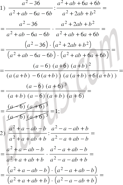
Упростите выражение:
Вспомните: