Номер 1035 - ГДЗ Алгебра 7 класс. Мерзляк, Полонский. Учебник. Страница 205

Вернуться к содержанию учебника

Страница 205

1032 1033 1034 1035 1036 1037 1038

Вопрос

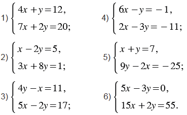
Найдите решение системы уравнений:

Подсказка

Ответ


Вернуться к содержанию учебника