Номер 657 - ГДЗ Алгебра 7 класс. Мерзляк, Полонский. Учебник. Страница 114

Вернуться к содержанию учебника

Страница 114

654 655 656 657 658 659 660

Вопрос

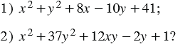
При каких значениях и равно нулю значение многочлена:

Подсказка

Ответ


Вернуться к содержанию учебника