Номер 627 - ГДЗ Алгебра 7 класс. Мерзляк, Полонский. Учебник. Страница 111

Вернуться к содержанию учебника

Страница 111

624 625 626 627 628 629 630

Вопрос

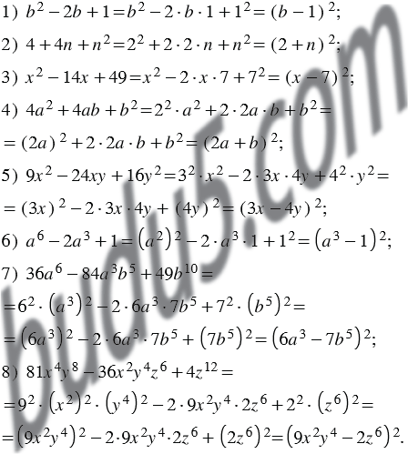
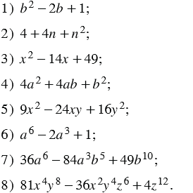
Представьте трёхчлен в виде квадрата двучлена:

Подсказка

Ответ


Вернуться к содержанию учебника