Номер 614 - ГДЗ Алгебра 7 класс. Мерзляк, Полонский. Учебник. Страница 108

Вернуться к содержанию учебника

Страница 108

611 612 613 614 615 616 617

Вопрос

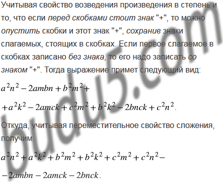
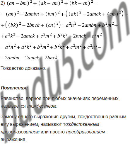
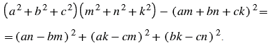
(Тождество Ж.Л. Лагранжа.) Докажите тождество:

Подсказка

Ответ


Вернуться к содержанию учебника