Номер 570 - ГДЗ Алгебра 7 класс. Мерзляк, Полонский. Учебник. Страница 104

Вернуться к содержанию учебника

Страница 104

567 568 569 570 571 572 573

Вопрос

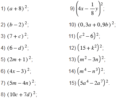
Выполните возведение в квадрат:

Подсказка

Ответ


Вернуться к содержанию учебника