Вернуться к содержанию учебника
Страница 89
481 482 483 484 485 486 487 488 489 490 491
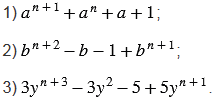
Разложите на множители выражение ( - натуральное число):
Вспомните: