Номер 376 - ГДЗ Алгебра 7 класс. Мерзляк, Полонский. Учебник. Страница 73

Вернуться к содержанию учебника

Страница 73

373 374 375 376 377 378 379

Вопрос

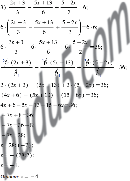
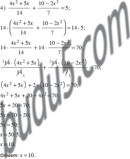
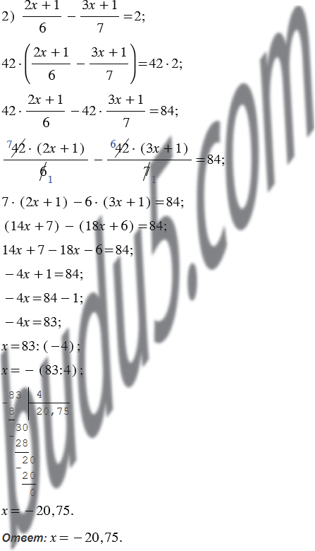
Найдите корень уравнения:

Подсказка

Ответ


Вернуться к содержанию учебника