Вернуться к содержанию учебника
Страница 16
38 39 40 41 42 43 44 45 46 47 48
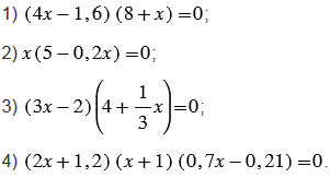
Решите уравнение:
Вспомните: