Номер 1016 - ГДЗ Математика 6 класс. Мерзляк, Полонский. Учебник. Страница 215

Вернуться к содержанию учебника

Страница 215

1013 1014 1015 1016 1017 1018 1019

Вопрос

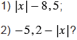
Можно ли указать наибольшее и наименьшее значения выражения:

В случае утвердительного ответа укажите это значение и значение , при котором выражение его принимает.

Подсказка

Вспомните:

  1. Что называют модулем числа.
  2. Правила вычитания рациональных чисел.
  3. Правила сложения рациональных чисел.

Ответ


Вернуться к содержанию учебника